Transderm Scop

scopolamine 1.5mg

 

Transdermal Therapeutic System

 

Programmed to deliver in vivo approximately

1.0mg of scopolamine over 3 days

 

 

 

 

 

 

 

 

 

 

Transderm Scop

scopolamine 1.5mg

 

Transdermal Therapeutic System

 

Programmed to deliver in vivo approximately

1.0mg of scopolamine over 3 days

 

Navigation

Description

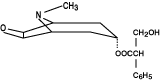
The Transderm Scop (transdermal scopolamine)  system is a circular flat patch designed for continuous release of scopolamine following application to an area of intact skin on the head, behind the ear.  Each system contains 1.5 mg of scopolamine base. Scopolamine is alpha-(hydroxymethyl) benzeneacetic acid 9-methyl-3-oxa-9-azatricyclo [3.3.1.02,4] non-7-yl ester. The empirical formula is C17H21NO4 and its structural formula is

Scopolamine molecule

 

Scopolamine is a viscous liquid that has a molecular weight of 303.35 and a pKa of 7.55-7.81.  The Transderm Scop system is a film 0.2 mm thick and 2.5 cm2, with four layers.  Proceeding from the visible surface towards the surface attached to the skin, these layers are:  (1) a backing layer of tan-colored, aluminized, polyester film; (2) a drug reservoir of scopolamine, light mineral oil, and polyisobutylene; (3) a microporous polypropylene membrane that controls the rate of delivery of scopolamine from the system to the skin surface; and (4) an adhesive formulation of light mineral oil, polyisobutylene, and scopolamine.  A protective peel strip of siliconized polyester, which covers the adhesive layer, is removed before the system is used.  The inactive components, light mineral oil (12.4mg) and polyisobutylene (11.4mg), are not released from the system.

 

Cross section of the system:

Backing Layer
Drug Reservoir
Rate-Controlling Membrane
Contact Adhesive
Protective Peel Strip

 

Clinical Pharmacology

Pharmacology

The sole active agent of Transderm Scop is scopolamine, a belladonna alkaloid with well-known pharmacological properties.  It is an anti-cholinergic agent which acts: i) as a competitive inhibitor at postganglioinic muscarinic receptor sites of the parasympathetic nervous system, and ii) on smooth muscles that respond to acetylcholine but lack cholinergic innervation.  It has been suggested that scopolamine acts in the central nervous system (CNS) by blocking cholinergic transmission from the vestibular nuclei to higher centers in the CNS and from the reticular formation to the vomiting center1,2.  Scopolamine can inhibit the secretion of saliva and sweat, decrease gastrointestinal secretions and motility, cause drowsiness, dilate the pupils, increase heart rate, and depress motor funtion2.

Pharmacokinetics

Scopolamine's activity is due to the parent drug.  The pharmacokinetics of scopolamine delivered via the system are due to the characteristics of both the drug and dosage form.  The system is programmed to deliver in-vivo approximately 1.0mg of scopolamine at an approximately constant rate to the systemic circulation over 3 days.  Upon application to the post-auricular skin, an initial priming dose of scopolamine is released from the adhesive layer to saturate skin binding sites.  The subsequent delivery of scopolamine to the blood is determined by the rate controlling membrane and is designed to produce stable plasma levels in a therapeutic range.  Following removal of the used system, there is some degree of continued systemic absorption of scopolamine bound in the skin layers.

 

Absorption:  Scopolamine is well-absorbed percutaneously.   Following application to the skin behind the ear, circulating plasma levels are detected within 4 hours with peak levels being obtained, on average, within 24 hours.  The average plasma concentration produced is 87 pg/ml for free scopolamine and 354 pg/ml for total scopolamine (free + conjugates).

 

Distribution:  The distribution of scopolamine is not well characterized.  It crosses the placenta and the blood brain barrier and may be reversibly bound to plasma proteins.

 

Metabolism:  Although not well characterized, scopolamine is extensively metabolized and conjugated with less than 5% of the total dose appearing unchanged in the urine.

 

Elimination:  The exact elimination pattern of scopolamine has not been determined.  Following patch removal, plasma levels decline in a log linear fashion with an observed half-life of 9.5 hours.  Less than 10% of the total dose is excreted in the urine as parent and metabolites over 108 hours.

 

Continued on top right of page...

Clinical Results:  In 195 adult subjects of different racial origins who participated in clinical efficacy studies at sea or in a controlled motion enviornment, there was a 75% reduction in the incidence of motion-induced nausea and vomiting3.  Transderm Scop provided significantly greater protection than that obtained with oral dimenhydrinate.

 

In two pivotal clinical efficacy studies in 391 adult female patients undergoing cesarean section or gynecological surgery with anesthesia and opiate analgesia, 66% of those treated with Transderm Scop (compared to only 46% of those receiving placebo) reported no retching/vomiting within the 24-hour period following administration of anesthesia/opiate analgesia.  When the need for additional antiemetic medication was assessed during the same period, there was no need for medication in 76% of patients treated with Transderm Scop as compared to 59% of placebo-treated patients5,6.

 

Indications and Usage

Transderm Scop is indicated in adults for prevention of nausea and vomiting associated with motion sickness and recovery from anesthesia and surgery.  The patch should be applied only to skin in the postauricular area.

 

Contraindications

Transderm Scop is contraindicated in persons who are hypersensitive to the drug scopolamine or to other belladonna alkaloids, or to any ingredient or component in the formulation or delivery system, or in patients with angle-closure (narrow angle) glaucoma.

 

WARNINGS

Glaucoma therapy in patients with chronic open-angle (wide-angle) glaucoma should be monitored and may need to be adjusted during Transderm Scop use, as the mydriatic effect of scopolamine may cause an increase in intraocular pressure. Transderm Scop should not be used in children and should be used with caution in the elderly. See PRECAUTIONS. Since drowsiness, disorientation, and confusion may occur with the use of scopolamine, patients should be warned of the possibility and cautioned against engaging in activities that require mental alertness, such as driving a motor vehicle or operating dangerous machinery. Rarely, idiosyncratic reactions may occur with ordinary therapeutic doses of scopolamine. The most serious of these that have been reported are: acute toxic psychosis, including confusion, agitation, rambling speech, hallucinations, paranoid behaviors, and delusions.

 

PRECAUTIONS

General

Scopolamine should be used with caution in patients with pyloric obstruction, or urinary bladder neck obstruction.  Caution should be exercised when administering an antiemetic or antimuscarinic drug to patients suspected of having intestinal obstruction.

   Transderm Scop should be used with special caution in the elderly or in individuals with impaired metabolic, liver, or kidney functions, because of the increased likelihood of CNS effects.

   Caution should be exercised in patients with a history of seizure or psychosis, since scopolamine can potentially aggravate both disorders.

 

Information for Patients

Since scopolamine can cause temporary dilation of the pupils and blurred vision if it comes in contact with the eyes, patients should be strongly advised to wash their hands thoroughly with soap and water immediately after handling the patch.  In addition, it is important that used patches be disposed of properly to avoid contact with children or pets.

 

 

Continued below...

   Patients should be advised to remove the patch immediately and contact a physician in the unlikely event that they experience symptoms of acute narrow-angle glaucoma (pain in and reddening of the eyes accompanied by dilated pupils).  Patients should also be instructed to remove the patch if they develop any difficulties in urinating.

Patients who expect to participate in underwater sports should be cautioned regarding the potentially disorienting effects of scopolamine.  A patient brochure is available.

 

Drug Interactions

The absorption of oral medications may be decreased during the concurrent use of scopolamine because of decreased gastric motility and delayed gastric emptying.

Scopolamine should be used with care in patients taking other drugs that are capable of causing CNS effects such as sedatives, tranquilizers, or alcohol. Special attention should be paid to potential interactions with drugs having anticholinergic properties; e.g., other belladonna alkaloids, antihistamines (including meclizine), tricyclic antidepressants, and muscle relaxants.

Laboratory Test Interactions
Scopolamine will interfere with the gastric secretion test.

Carcinogenesis, Mutagenesis, Impairment of Fertility

No long-term studies in animals have been completed to evaluate the carcinogenic potential of scopolamine. The mutagenic potential of scopolamine has not been evaluated. Fertility studies were performed in female rats and revealed no evidence of impaired fertility or harm to the fetus due to scopolamine hydrobromide administered by daily subcutaneous injection. Maternal body weights were reduced in the highest-dose group (plasma level approximately 500 times the level achieved in humans using a transdermal system).

 

Pregnancy Category C

Teratogenic studies were performed in pregnant rats and rabbits with scopolamine hydrobromide administered by daily intravenous injection. No adverse effects were recorded in rats. Scopolamine hydrobromide has been shown to have a marginal embryotoxic effect in rabbits when administered by daily intravenous injection at doses producing plasma levels approximately 100 times the level achieved in humans using a transdermal system. During a clinical study among women undergoing cesarean section treated with Transderm Scop in conjunction with epidural anesthesia and opiate analgesia, no evidence of CNS depression was found in the newborns. There are no other adequate and well-controlled studies in pregnant women. Other than in the adjunctive use for delivery by cesarean section, Transderm Scop should be used in pregnancy only if the potential benefit justifies the potential risk to the fetus.

 

Nursing Mothers

Because scopolamine is excreted in human milk, caution should be exercised when Transderm Scop is administered to a nursing woman.

 

Labor and Delivery
Scopolamine administered parenterally at higher doses than the dose delivered by Transderm Scop does not increase the duration of labor, nor does it affect uterine contractions. Scopolamine does cross the placenta.

 

Pediatric Use

The safety and effectiveness of Transderm Scop in children has not been established. Children are particularly susceptible to the side effects of belladonna alkaloids. Transderm Scop should not be used in children because it is not known whether this system will release an amount of scopolamine that could produce serious adverse effects in children.

 

ADVERSE REACTIONS

The adverse reactions for Transderm Scop are provided separately for patients with motion sickness and with post-operative nausea and vomiting.

Motion Sickness: In motion sickness clinical studies of Transderm Scop, the most frequent adverse reaction was dryness of the mouth. This occurred in about two thirds of patients on drug. A less frequent adverse drug reaction was drowsiness, which occurred in less than one sixth of patients on drug. Transient impairment of eye accommodation, including blurred vision and dilation of the pupils, was also observed.

Post-operative Nausea and Vomiting: In a total of five clinical studies in which Transderm Scop was administered perioperatively to a total of 461 patients and safety was assessed, dry mouth was the most frequently reported adverse drug experience, which occurred in approximately 29% of patients on drug. Dizziness was reported by approximately 12% of patients on drug7.

Postmarketing and Other Experience: In addition to the adverse experiences reported during clinical testing of Transderm Scop, the following are spontaneously reported adverse events from postmarketing experience. Because the reports cite events reported spontaneously from worldwide postmarketing experience, frequency of events and the role of Transderm Scop in their causation cannot be reliably determined: acute angle-closure (narrow-angle) glaucoma; confusion; difficulty urinating; dry, itchy, or conjunctival injection of eyes; restlessness; hallucinations; memory disturbances; rashes and erythema; and transient changes in heart rate.

Drug Withdrawal/Post-Removal Symptoms: Symptoms such as dizziness, nausea, vomiting, and headache occur following abrupt discontinuation of antimuscarinics. Similar symptoms, including disturbances of equilibrium, have been reported in some patients following discontinuation of use of the Transderm Scop system. These symptoms usually do not appear until 24 hours or more after the patch has been removed. Some symptoms may be related to adaptation from a motion environment to a motion-free environment. More serious symptoms including muscle weakness, bradycardia and hypotension may occur following discontinuation of Transderm Scop.

 

Continued above...

OVERDOSAGE

Because strategies for the management of drug overdose continually evolve, it is strongly recommended that a poison control center be contacted to obtain up-to-date information regarding the management of Transderm Scop patch overdose. The prescriber should be mindful that antidotes used routinely in the past may no longer be considered optimal treatment. For example, physostigmine, used more or less routinely in the past, is seldom recommended for the routine management of anticholinergic syndromes.

Until up-to-date authoritative advice is obtained, routine supportive measures should be directed to maintaining adequate respiratory and cardiac function.

The signs and symptoms of anticholinergic toxicity include: lethargy, somnolence, coma, confusion, agitation, hallucinations, convulsion, visual disturbance, dry flushed skin, dry mouth, decreased bowel sounds, urinary retention, tachycardia, hypertension, and supraventricular arrhythmias.

Most cases of toxicity involving the use of the product will resolve with simple removal of the patch. Serious symptomatic cases of overdosage involving multiple patch applications and/or ingestion may be managed by initially ensuring the patient has an adequate airway, and supporting respiration and circulation. This should be rapidly followed by removal of all patches from the skin and the mouth. If there is evidence of patch ingestion, gastric lavage, endoscopic removal of swallowed patches, or administration of activated charcoal should be considered, as indicated by the clinical situation. In any case where there is serious overdosage or signs of evolving acute toxicity, continuous monitoring of vital signs and ECG, establishment of intravenous access, and administration of oxygen are all recommended.

The symptoms of overdose/toxicity due to scopolamine should be carefully distinguished from the occasionally observed syndrome of withdrawal (see Drug Withdrawal/Post Removal Symptoms). Although mental confusion and dizziness may be observed with both acute toxicity and withdrawal, other characteristic findings differ: tachyarrhythmias, dry skin, and decreased bowel sounds suggest anticholinergic toxicity, while bradycardia, headache, nausea and abdominal cramps, and sweating suggest post-removal withdrawal. Obtaining a careful history is crucial to making the correct diagnosis.

Physostigmine salicylate:

In Adults:  Administered intravenously in doses of 0.5 to 2mg at a rate not to exceed 1mg per minute.  If symptoms recur, doses of 0.5 to 2mg may be repeated up to a total dose of 5mg.

   In Children:  0.02 mg/kg administered intramuscularly or intravenously every 5 to 10 minutes, until a therapeutic effect is seen or a total dose of 2mg is achieved.  Infusion rate should not exceed 0.5 mg per minute.

OR

Neostigmine methylsulfate:

In Adults:  Administered intramuscularly in doses of 0.5 to 1 mg, repeated every 2 to 3 hours; OR intravenously in doses of 0.5 to 2 mg, repeated as needed.

 

   Small doses of a short-acting barbiturate (e.g., 100 mg thiopental sodium) or benzodiazepine, or a rectal infusion of 2% solution of chloral hydrate may control agitation or delirium.  Intravenous norepinephrine bitartrate or metaraminol bitartrate may be given cautiously to restore blood pressure.  To treat respiratory depression, administer artificial respiration with oxygen.

 

DOSAGE AND ADMINISTRATION

Initiation of Therapy: To prevent the nausea and vomiting associated with motion sickness, one Transderm Scop patch (programmed to deliver approximately 1.0 mg of scopolamine over 3 days) should be applied to the hairless area behind one ear at least 4 hours before the antiemetic effect is required. To prevent post operative nausea and vomiting, the patch should be applied the evening before scheduled surgery. To minimize exposure of the newborn baby to the drug, apply the patch one hour prior to cesarean section. Only one patch should be worn at any time. Do not cut the patch.

Handling: After the patch is applied on dry skin behind the ear, the hands should be washed thoroughly with soap and water and dried. Upon removal, the patch should be discarded. To prevent any traces of scopolamine from coming into direct contact with the eyes, the hands and the application site should be washed thoroughly with soap and water and dried. (A patient brochure is available).

Continuation of Therapy: Should the patch become displaced, it should be discarded, and a fresh one placed on the hairless area behind the other ear. For motion sickness, if therapy is required for longer than 3 days, the first patch should be removed and a fresh one placed on the hairless area behind the other ear. For perioperative use, the patch should be kept in place for 24 hours following surgery at which time it should be removed and discarded.

 

HOW SUPPLIED

The Transderm Scop system is a tan-colored circular patch, 2.5 cm2, on a clear, oversized, hexagonal peel strip, which is removed prior to use.
Each Transderm Scop system contains 1.5 mg of scopolamine and is programmed to deliver in-vivo approximately 1.0 mg of scopolamine over 3 days. Transderm Scop is available in packages of four patches. Each patch is foil wrapped. Patient instructions are included. 1 Package (4 patches) NDC 0067-4345-04. The system should be stored at controlled room temperature between 20o C and 25o C (68o F and 77o F).

 

CAUTION

Federal law prohibits dispensing without prescription.

 

REFERENCES

  1. McEvoy, G.K. (ed.); AHSF Drug Information; American Society of Hospital Pharmacists, Bethesda, MD, pp. 608-611 (1990).
  2. Gilman, A.G. et al (ed.); The Pharmacological Basis of Therapeutics (8th Ed.); Pergamon Press, New York, NY, pp. 150-165 (1990).
  3. Clissold, S.P. et al; "Transdermal Hyoscine (Scopolamine), A Preliminary Review of its Pharmacodynamic Properties and Therapeutic Efficacy", Drugs, 29: 189-207 (1985).
  4. Pharmacokinetic clinical data on file.
  5. Kotelko, D.M. et al; "Transdermal scopolamine decreases nausea and vomiting following cesarean section in patients receiving epidural morphine", Anesthesiology 71(5): 675-678 (1989).
  6. Bailey, P.L. et al; "Transdermal scopolamine reduces nausea and vomiting after outpatient laparoscopy", Anesthesiology 72(6): 977-980 (1990).
  7. Clinical safety data on file.

Mfd by:  ALZA Corporation

Palo Alto, CA  94303-0802

 

Distributed by:

Novartis Consumer Health, Inc.

Summit, NJ  07901-1312

 

 

 

 

Go back to the top of the page...

 

Click here to open www.rxpalace.com in a new window

 

Close This Window

 

This page was last modified 04/18/2006